Home » Why Does Bf3 Violate The Octet Rule? The Explanation

Why Does Bf3 Violate The Octet Rule? The Explanation

Why Does Bf3 Violate The Octet Rule? The Explanation

Why does BH3 violate the octet rule?

Let’s talk about boron trihydride, BH3, and why it breaks the octet rule. You might be thinking, “Wait, shouldn’t boron have eight electrons around it?” Well, that’s the general rule, but there are some exceptions. BH3 is one of them.

BH3 only has six valence electrons, which are all used in the three covalent bonds it forms. Since it only has six electrons, it doesn’t have a full octet. This is because boron has only three valence electrons.

Now, you might be wondering why BH3 doesn’t just go ahead and grab two more electrons to complete its octet. Well, it actually *does* try. Boron trihydride is actually very reactive, and it will readily accept electrons from other molecules. It wants to achieve that stable octet.

Think of BH3 as a little kid with six marbles who wants eight. He’ll try to get more marbles, but he’s a bit needy and might be a little rough about it. He’ll try to grab them from other kids who have some to spare.

This is why BH3 is often found in combination with other molecules. It’ll attach itself to other molecules, like ammonia (NH3), to form adducts. In these adducts, the boron atom gains a complete octet. For example, the BH3 molecule will react with ammonia (NH3) to form BH3NH3. In this reaction, ammonia donates its lone pair of electrons to boron, forming a covalent bond.

The BH3 molecule also has an empty p-orbital, making it a good electron acceptor. This means it’s prone to reacting with other molecules that have lone pairs of electrons to donate. In the example of ammonia, the nitrogen atom has a lone pair of electrons, which can be donated to the empty p-orbital of boron in BH3. This electron donation is what forms the bond between BH3 and ammonia, creating BH3NH3.

So, even though BH3 doesn’t have a full octet, it doesn’t just sit there and pout. It’s actively trying to get more electrons and become more stable, even if it means making a little fuss about it.

Why is BF3 with incomplete octet structure the preferred structure?

Why is BF3 with an Incomplete Octet the Preferred Structure?

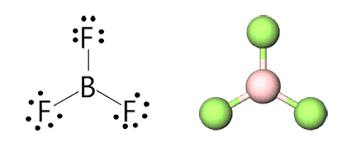
BF3, boron trifluoride, is a fascinating molecule with a structure that defies the octet rule. You might be wondering why boron, with only six electrons in its valence shell, is content with an incomplete octet. Let’s break down why this structure is the preferred one.

Formal Charge plays a key role in determining the most stable structure of a molecule. Formal Charge is the hypothetical charge an atom would have if all the bonding electrons were shared equally between the bonded atoms. The structure that minimizes the formal charge on all the atoms is generally the most stable. In the case of BF3, formal charge calculations show that boron and all three fluorine atoms have zero formal charge in the trigonal planar structure. This indicates that this structure is the most energetically favorable one for the compound.

Let’s delve a little deeper into why the incomplete octet structure is favored for boron in BF3. Boron, being in Group 3, has three valence electrons. In the trigonal planar structure, boron forms three single bonds with three fluorine atoms. Each fluorine atom contributes one electron to the bond, resulting in a total of six electrons around boron. This structure satisfies the octet rule for the fluorine atoms but leaves boron with only six electrons, hence the “incomplete octet.”

Why is this incomplete octet arrangement stable? It comes down to the electronegativity of fluorine. Fluorine is the most electronegative element, meaning it attracts electrons more strongly than boron. In the BF3 molecule, the fluorine atoms pull electron density away from the boron atom. This “pulling” effect helps stabilize the boron atom even though it lacks a complete octet. The stability gained by having three strong boron-fluorine bonds outweighs the slight electron deficiency around boron.

Additionally, the trigonal planar structure minimizes electron-electron repulsions between the fluorine atoms. This geometric arrangement positions the fluorine atoms as far apart as possible, further contributing to the stability of the molecule.

In conclusion, the incomplete octet structure of BF3 is preferred because it minimizes formal charge, maximizes bond strength, and minimizes electron-electron repulsions. These factors contribute to the overall stability of the molecule.

Why are BF3 and pf5 are examples of exceptions to the octet rule?

Let’s explore why BF3 and PF5 are exceptions to the octet rule.

In PF5, the central phosphorus atom has five valence electrons. It forms five bonds with five fluorine atoms, resulting in ten electrons around the phosphorus atom. This is more than the usual eight electrons required to complete an octet. This is why PF5 is considered an exception to the octet rule.

BF3 is another exception. Boron has three valence electrons and forms three bonds with three fluorine atoms. This leaves boron with only six electrons around it, falling short of the octet rule.

Let’s delve a bit deeper. While the octet rule is a useful guideline for understanding bonding, it’s not a hard and fast rule. The octet rule is based on the stability of having a full outer shell of eight electrons. However, elements in the third period and beyond can accommodate more than eight electrons in their outer shell due to the availability of empty d orbitals. This allows them to expand their valence shell and form more bonds.

In the case of PF5, the phosphorus atom uses its 3d orbitals to accommodate the additional two electrons. This allows it to form five bonds with fluorine, resulting in an expanded octet. In BF3, the boron atom has only three valence electrons. This creates an electron deficiency, leading to a less stable molecule that can readily accept a pair of electrons to complete its octet.

These exceptions to the octet rule highlight the flexibility of chemical bonding and the importance of considering the specific properties of each element.

Why doesn’t BF3 follow the octet rule?

Boron trifluoride, BF3, is a fascinating molecule that doesn’t follow the octet rule. Let’s break down why.

Boron, with its three valence electrons, forms covalent bonds with three fluorine atoms. Each fluorine atom shares one electron with boron. This results in boron having only six electrons in its valence shell, falling short of the eight electrons required by the octet rule.

Now, you might be wondering why this happens. Well, boron is a small atom with a low electronegativity, which means it doesn’t have a strong pull on electrons. Fluorine, on the other hand, is highly electronegative, pulling electrons towards itself. This difference in electronegativity creates a situation where boron can’t easily attract enough electrons to achieve a full octet.

Instead of striving for a full octet, boron finds stability by sharing its electrons with the fluorine atoms, forming three strong covalent bonds. The resulting BF3 molecule is trigonal planar, meaning it has a flat, triangular shape with the boron atom at the center.

Think of it this way: boron is content with sharing its electrons and being a bit electron-deficient. It’s like a happy, minimalist who doesn’t need all the “stuff” to be content. In the case of BF3, boron’s happiness comes from forming strong bonds with fluorine atoms, even if it means not having a full octet.

Why is BF3 an exception?

Boron, a fascinating element, is known for its tendency to form only three covalent bonds. This leads to a unique situation where boron atoms only have six valence electrons surrounding them. BF3 is a perfect example of this behavior.

You might be wondering why BF3 seems to break the octet rule, which states that atoms usually strive for eight electrons in their outer shell. The answer lies in the fact that BF3 is an electron-deficient molecule. Boron, with only three valence electrons, can’t form enough bonds to achieve a full octet.

Let’s dive a bit deeper:

In BF3, boron shares its three valence electrons with three fluorine atoms, each of which contributes one electron to the bond. This arrangement creates three single covalent bonds, resulting in six electrons surrounding the boron atom. This makes BF3 a planar molecule with a trigonal planar geometry.

Now, you might think, “Well, boron should want to have eight electrons, right?” And you’re absolutely right! Boron would love to have a full octet, but it doesn’t always have to. In this case, BF3 is quite stable despite the incomplete octet.

Here’s why:

The stability of fluorine: Fluorine atoms are highly electronegative, meaning they strongly attract electrons. The shared electrons in the B-F bonds are pulled more towards the fluorine atoms, making the fluorine atoms more negative and the boron atom more positive.
Empty p-orbital: The boron atom, despite only having six electrons, has a vacant p-orbital. This empty orbital allows BF3 to act as a Lewis acid, readily accepting an electron pair from a Lewis base to form a stable adduct.

BF3‘s electron-deficient nature makes it a highly reactive compound, making it a key player in various chemical reactions. It’s frequently used as a catalyst in organic synthesis and plays a significant role in various industrial processes.

Why is the BF3 electron-deficient?

Boron trifluoride, BF3, is considered electron-deficient because its boron atom only has six electrons in its valence shell. To achieve a stable octet, boron would need eight electrons. This means that the boron atom in BF3 is looking for two more electrons to complete its outer shell.

The reason why BF3 is electron-deficient stems from the nature of boron and fluorine. Boron, with its three valence electrons, forms three single covalent bonds with three fluorine atoms. Each fluorine atom contributes one electron to the bond, resulting in a total of six electrons surrounding the boron atom. This leaves the boron atom with an incomplete octet.

Let’s break it down further. Fluorine, being highly electronegative, pulls the shared electrons in the covalent bond towards itself. This creates a partial positive charge on the boron atom, making it even more electron-deficient. This electron deficiency makes BF3 a powerful Lewis acid, readily accepting electron pairs from other molecules or ions to form adducts.

This electron deficiency also makes BF3 a useful reagent in organic chemistry, where it acts as a catalyst in many reactions. For example, BF3 is used in Friedel-Crafts alkylation and acylation reactions, where it helps to activate the electrophilic reagent.

In a nutshell, boron trifluoride (BF3) is electron-deficient because boron only has six electrons in its valence shell. This makes it a strong Lewis acid, readily accepting electron pairs from other molecules or ions to complete its octet. The electron deficiency of BF3 is what makes it useful in organic chemistry reactions.

How does BrF3 violate the octet rule?

Let’s dive into why BrF3 breaks the octet rule.

You’re right, the Lewis structure of BrF3 shows bromine with 10 valence electrons, exceeding the usual octet rule of 8. This is allowed because bromine is in period 3 or higher on the periodic table.

Here’s why: The octet rule is a guideline, not a hard-and-fast law. It works well for elements in the second period (like carbon, nitrogen, oxygen, and fluorine), because they only have 2s and 2p orbitals available for bonding. But when we move down the periodic table, things get a little more complicated.

Elements like bromine have access to d orbitals in their valence shell. These d orbitals can participate in bonding, allowing elements in period 3 and beyond to expand their valence shell beyond the usual 8 electrons.

Think of it this way: For elements in the second period, the ‘octet’ represents a filled outer shell. But for elements in period 3 and beyond, the ‘octet’ is just the start. They can potentially accommodate additional electrons in their d orbitals, leading to expanded octets.

So, in BrF3, bromine forms three single bonds with fluorine atoms, and it also has two lone pairs of electrons. These five electron pairs around bromine require more than eight electrons to accommodate them, hence the expanded octet.

Remember, the octet rule is a helpful tool for understanding bonding, but it’s not a universal rule. When working with elements in period 3 and beyond, always consider the possibility of expanded octets.

See more here: Does Bf3 Break The Octet Rule? | Why Does Bf3 Violate The Octet Rule

Which molecule violates the octet rule?

Let’s dive into the fascinating world of molecules and the octet rule! You know, the rule that says atoms want to have eight electrons in their outermost shell to be happy and stable. But sometimes, molecules just don’t follow the rules, do they?

Odd-electron molecules are the rebels of the chemistry world. They have an odd number of electrons in their valence shells, which means at least one atom in the molecule has to break the octet rule. It’s like they’re saying, “I’m not like the other molecules! I’ll do things my own way!”

Here are a few examples of these rule-breakers: NO, NO2, and ClO2. These molecules are stable despite having an odd number of electrons, which is pretty cool, right?

Now, let’s delve a little deeper into why these odd-electron molecules exist. We can thank the free radical for their existence! Free radicals are atoms or molecules with an unpaired electron in their outermost shell. They’re highly reactive, like little chemical troublemakers, and they’re always looking for another electron to pair up with. These free radicals can be formed by breaking a chemical bond, and they’re important in a lot of chemical reactions, like combustion and biological processes.

But how do these free radicals relate to the octet rule? Well, since they have an unpaired electron, they can’t satisfy the octet rule. They’re stuck with an odd number of electrons, making them odd-electron molecules. So, while they might not follow the octet rule, they play a crucial role in many chemical processes.

Keep in mind, even though odd-electron molecules don’t follow the octet rule, they still exist and are important for a lot of reasons. They’re like the rebellious teenagers of the chemical world, breaking the rules but doing it in a way that makes the chemical world a more interesting place!

How do you identify a violation of the octet rule?

Let’s talk about violations of the octet rule! It’s a super important concept in chemistry, and it helps us understand how atoms bond together to form molecules.

So, what is the octet rule? In a nutshell, it states that atoms tend to gain, lose, or share electrons to achieve a stable configuration with eight electrons in their outermost shell. Think of it like a happy family with eight kids – the more the merrier!

But, just like in a real family, there are always exceptions to the rule, and that’s where the violations of the octet rule come in. Some atoms, especially those in the second row of the periodic table, can be perfectly happy with fewer than eight electrons in their outermost shell. For example, hydrogen is only happy with two electrons to achieve a full shell.

Now, let’s dive into the specific example of chlorine monoxide (ClO), which you mentioned.

When you’re drawing a Lewis electron dot diagram for ClO, you’ll see that chlorine (Cl) has seven valence electrons and oxygen (O) has six valence electrons. That gives you a total of 13 valence electrons for the molecule. Since 13 is an odd number, you won’t be able to achieve a perfect octet for both chlorine and oxygen. In this case, chlorine has seven electrons in its outer shell and oxygen has seven electrons in its outer shell. This kind of situation is called a violation of the octet rule.

Now, you might be wondering, why does this happen? Well, it’s all about the electronegativity of the atoms involved. Electronegativity is a measure of an atom’s ability to attract electrons in a bond. In the case of ClO, chlorine is slightly more electronegative than oxygen, so it attracts the electrons in the bond more strongly. This means that chlorine ends up with a slightly more complete outer shell, while oxygen is left with a slightly incomplete outer shell.

The key takeaway here is that violations of the octet rule are perfectly normal, and they happen when the atoms involved have different electronegativities. It’s a fascinating way that atoms can interact to form molecules, and it demonstrates how the octet rule is just a guideline, not a hard and fast rule!

How do you identify a violation to the octet rule in XeF 2?

Let’s explore how to identify the violation of the octet rule in XeF2! We can do this by drawing a Lewis electron dot diagram.

Xe has eight valence electrons, and each F atom has seven valence electrons. When we draw the Lewis structure for XeF2, we see that Xe has 10 electrons around it – two from each F atom, and six from its own valence shell. This means Xe has an expanded valence shell and violates the octet rule.

The octet rule states that atoms tend to gain, lose, or share electrons to achieve a stable configuration of eight electrons in their outermost shell. However, elements in the third period and beyond can have more than eight electrons around them due to the availability of empty d orbitals.

To understand why Xe can violate the octet rule, we need to look at its electron configuration. Xe has a configuration of [Kr] 4d¹⁰ 5s² 5p⁶. The 5d orbitals are empty, but they can be used to accommodate additional electrons. This allows Xe to form more than four bonds, resulting in an expanded octet.

So, how do we know that XeF2 is a violation of the octet rule? Well, XeF2 is an example of an expanded valence shell molecule. In these molecules, the central atom has more than eight electrons in its valence shell, which is only possible for elements in the third period and beyond. In XeF2, the Xe atom forms two bonds with the F atoms, which means it has a total of 10 electrons around it. The d orbitals of the Xe atom can accommodate these extra electrons, allowing it to expand its valence shell.

Does boron trifluoride follow the octet rule?

Let’s talk about boron trifluoride (BF3) and the octet rule.

You might have heard that atoms love to have eight electrons in their outer shell, just like the noble gases. This is the octet rule. It helps explain how atoms bond to form molecules.

But, guess what? Boron trifluoride doesn’t play by these rules! It’s a bit of a rebel.

Boron only has three valence electrons, and it forms three bonds with fluorine. So, boron ends up with only six electrons in its outer shell.

Why does boron trifluoride get away with breaking the octet rule? Well, it’s actually quite stable. The fluorine atoms are very electronegative, which means they pull electrons towards themselves. This makes the boron atom a little bit electron-deficient, but it’s not a big deal.

Boron trifluoride is a very common molecule in chemistry, and it’s used in a lot of different reactions. It’s a powerful Lewis acid, which means it can accept a pair of electrons from another molecule.

Here’s a more detailed breakdown:

Boron has three valence electrons, which are located in the 2s and 2p orbitals.
Fluorine has seven valence electrons.
* In boron trifluoride, boron forms three single bonds with fluorine, sharing one electron with each fluorine atom.
* This results in boron having six electrons in its outer shell (three from its own atom and three shared from the fluorine atoms), which is less than the eight required for a complete octet.

Since boron has an empty p orbital, it can accept a pair of electrons, making it a Lewis acid. This ability to accept electrons is a key characteristic of boron trifluoride and makes it a valuable reagent in various chemical reactions.

Think of it like this: The boron trifluoride molecule is like a happy little family with three children. It’s got a full house, but it’s missing a few toys. It’s still a happy family, and it can share its toys with other families, but it’s not going to be complaining about not having enough toys.

See more new information: linksofstrathaven.com

Why Does Bf3 Violate The Octet Rule? The Explanation

Okay, let’s dive into the world of boron trifluoride (BF3) and why it throws a wrench into the whole “octet rule” thing.

You see, the octet rule is kind of like the golden rule of chemistry: atoms want to have eight electrons in their outermost shell, which is called the valence shell. Think of it as a full set of eight, making them happy and stable.

But then there’s BF3, like the rebellious teenager who just doesn’t follow the rules.

Let’s break down why:

Boron’s Problem: Boron, the star of the show in BF3, has three valence electrons. Imagine it like a tiny atom with three empty slots in its outermost shell. It wants to fill those slots, right?

Fluorine’s Greed: Fluorine, on the other hand, is super electronegative, meaning it really wants to grab an electron to complete its own octet. It has seven valence electrons, so it’s just one shy of its happy eight. It’s like that friend who always asks for the last slice of pizza.

The Dance of Sharing: Boron and fluorine do what atoms often do: they share electrons to achieve stability. Boron shares its three electrons with three fluorine atoms, forming three covalent bonds.

The Octet Rule Gets Tricked: Now, here’s the twist: Boron ends up with only six electrons in its valence shell, not eight. It’s not following the octet rule! It’s like a teenager who decides to go to a party with only six friends instead of eight, but still feels pretty satisfied.

The Truth about the Octet Rule

The octet rule is a useful guideline, but it’s not a hard and fast law. There are actually quite a few exceptions. Atoms like boron, which have less than four valence electrons, can form compounds with less than eight electrons in their valence shells.

Why BF3 Gets Away with It

So, why does BF3, with its six-electron boron, manage to be stable?

It’s all about electronegativity. Fluorine is really, really good at pulling electrons towards itself. This creates a special kind of bond called a polar covalent bond. Think of it like a tug-of-war where fluorine is the stronger player.

This tugging makes the boron atom slightly positive (δ+) and each fluorine atom slightly negative (δ-). The overall effect is a balanced, neutral molecule. Even though boron doesn’t have a full octet, the molecule is stable because of the way the electrons are distributed.

Let’s Summarize

BF3 is a quirky molecule that defies the octet rule. Boron doesn’t achieve a full eight electrons in its valence shell, but the molecule is still stable thanks to the electronegativity of fluorine and the resulting polar covalent bonds.

It’s like that rebel teenager who doesn’t follow all the rules, but still manages to thrive in their own unique way.
FAQs

Q: Why is the octet rule so important?

A: The octet rule is a fundamental concept in chemistry because it helps us understand how atoms bond to form molecules. Atoms strive for stability, and achieving a full octet in their valence shell helps them reach that stable state. The octet rule provides a framework for understanding the reactivity of elements and predicting how they will interact.

Q: Are there other exceptions to the octet rule?

A: Absolutely! There are many exceptions to the octet rule. For example:

Elements in the second period (like boron) can sometimes have less than eight electrons in their valence shell.
Elements in periods 3 and beyond can have more than eight electrons in their valence shell. This is because they have access to d-orbitals, allowing them to accommodate more electrons.
Some molecules, like those with odd numbers of electrons, simply cannot satisfy the octet rule.

Q: What are some other examples of molecules that violate the octet rule?

A: There are plenty of other examples! Some common ones include:

BeH2 (Beryllium hydride): Beryllium only has two valence electrons and forms two bonds, leaving it with only four electrons.
PCl5 (Phosphorus pentachloride): Phosphorus has five valence electrons and forms five bonds, giving it ten electrons in its valence shell.
SF6 (Sulfur hexafluoride): Sulfur has six valence electrons and forms six bonds, giving it twelve electrons in its valence shell.

Q: How do I know if a molecule will violate the octet rule?

A: Here are a few key things to consider:

The central atom’s position in the periodic table: Elements in the second period are more likely to violate the octet rule.
The electronegativity difference between the central atom and its surrounding atoms: Large electronegativity differences can lead to deviations from the octet rule.
The number of bonds the central atom forms: Atoms with more than four bonds often violate the octet rule.

The world of chemistry is full of fascinating exceptions and unexpected behavior. Don’t let the octet rule limit your understanding!

Violations of the Octet Rule – Chemistry LibreTexts

Three cases can be constructed that do not follow the Octet Rule, and as such, they are known as the exceptions to the Octet Rule. Following the Octet Rule for Lewis Dot Structures leads to the most accurate depictions of stable molecular and Chemistry LibreTexts

9.9: Exceptions to the Octet Rule – Chemistry LibreTexts

Three cases can be constructed that do not follow the octet rule, and as such, they are known as the exceptions to the octet rule. Following the Octet Rule for Chemistry LibreTexts

Flexi answers – Does BF3 obey the octet rule? | CK-12 Foundation

Boron trifluoride (BF 3) does not follow the octet rule. The octet rule states that atoms tend to form bonds in such a way that they have eight electrons in their valence shell, CK-12 Foundation

Why does Boron only need 6 valence electrons unlike the

Hydrogen and Boron seem to be the only outliers to the octet rule. Hydrogen makes sense because it has only one shell and 2 electrons complete its shell. Boron’s Chemistry Stack Exchange

Violations of the Octet Rule – GitHub Pages

Why can an odd-electron molecule not satisfy the octet rule? Why can an atom in the second row of the periodic table not form expanded valence shell molecules? Draw an saylordotorg.github.io

7.6: Violations of the Octet Rule – Chemistry LibreTexts

With an odd number of electrons, at least one atom in the molecule will have to violate the octet rule. Examples of stable odd-electron molecules are NO NO, NO2 Chemistry LibreTexts

Exceptions to the octet rule (video) | Khan Academy

While most atoms obey the duet and octet rules, there are some exceptions. For example, elements such as boron or beryllium often form compounds in which the central atom is surrounded by fewer than eight electrons (e.g., BF₃ or BeH₂). Khan Academy

Violations of the Octet Rule – Introductory Chemistry – 1st

Why can an odd-electron molecule not satisfy the octet rule? Why can an atom in the second row of the periodic table not form expanded valence shell molecules? Draw an BCcampus Open Publishing

10.5 Violations of the Octet Rule – Introductory

Why can an odd-electron molecule not satisfy the octet rule? Why can an atom in the second row of the periodic table not form expanded valence shell molecules? Draw an acceptable Lewis electron dot diagram for NSCC Libraries Pressbooks

CHEM 101 – Octet rule violations – Gonzaga University

As a generalization, the octet rule is a simple and effective guide to writing correct chemical structures. For the period 2 elements C, N, O, and F it is most strictly Gonzaga University

Exceptions To The Octet Rule – Lewis Dot Diagrams

The Octet Rule: Help, Definition, And Exceptions

Incomplete Octet Of Bf3

Lewis Dot Structures: Bf3 And No. Octet Violations

Exceptions To The Octet Rule

Bf3 Covalent Bonding Exception To Octet Rule Chemistry Fhchs

73A: Drawing Lewis Structures That Violate The Octet Rule

Link to this article: why does bf3 violate the octet rule.

Why Is The Octet Of B Incomplete In Bf3? - Quora
Why Is The Octet Of B Incomplete In Bf3? – Quora
Why Is The Octet Of B Incomplete In Bf3? - Quora
Why Is The Octet Of B Incomplete In Bf3? – Quora
Why Is The Octet Of B Incomplete In Bf3? - Quora
Why Is The Octet Of B Incomplete In Bf3? – Quora
B{F_3}\\] Does Not Obey Octet Rule. State The Given Statement Is True Or  False
B{F_3}\\] Does Not Obey Octet Rule. State The Given Statement Is True Or False
Incomplete Octet Of Bf3 - Youtube
Incomplete Octet Of Bf3 – Youtube
Why Is The Octet Of B Incomplete In Bf3? - Quora
Why Is The Octet Of B Incomplete In Bf3? – Quora
Bf_3 Does Not Obey Octet Rule.Truefalse
Bf_3 Does Not Obey Octet Rule.Truefalse
Violations Of The Octet Rule
Violations Of The Octet Rule
5.5 Violations Of The Octet Rule - Chemistry Libretexts
5.5 Violations Of The Octet Rule – Chemistry Libretexts
Why Is The Octet Of B Incomplete In Bf3? - Quora
Why Is The Octet Of B Incomplete In Bf3? – Quora
Chemistry 445 Inorganic Chemistry Lecture Ppt Video Online Download
Chemistry 445 Inorganic Chemistry Lecture Ppt Video Online Download
Exceptions To The Octet Rule | Boundless Chemistry
Exceptions To The Octet Rule | Boundless Chemistry
Chem 101 - Octet Rule Violations
Chem 101 – Octet Rule Violations
Exceptions To The Octet Rule: Lewis Structures Of Bf3, Clf3, And Icl5 -  Youtube
Exceptions To The Octet Rule: Lewis Structures Of Bf3, Clf3, And Icl5 – Youtube
Select All Of The Following Molecules That Violate The Octet Rule: Co Bf3  Sf4 Chbr3 Xecl2 Br2
Select All Of The Following Molecules That Violate The Octet Rule: Co Bf3 Sf4 Chbr3 Xecl2 Br2
The Octet Rule Is Not Obeyed  In:Displaystyle:Co_{2}Displaystyle:Bcl_{3}Displaystyle:Pcl_{5}Displaystyle:Sif_{4}
The Octet Rule Is Not Obeyed In:Displaystyle:Co_{2}Displaystyle:Bcl_{3}Displaystyle:Pcl_{5}Displaystyle:Sif_{4}
In Which Of The Following Compounds Does The Central Atom Violate The Octet  Rule? Given: Atomic Number, Se =34, As =33, B =5, N =7A. Nh 3B. Sef 2C. Bf  3D. Asf 3
In Which Of The Following Compounds Does The Central Atom Violate The Octet Rule? Given: Atomic Number, Se =34, As =33, B =5, N =7A. Nh 3B. Sef 2C. Bf 3D. Asf 3
Sf_6, Cif_5, And Xef_4 Are Three Compounds Whose Central Atoms Do Not Follow  The Octet Rule. Draw Lewis Structures For These Compounds. |  Homework.Study.Com
Sf_6, Cif_5, And Xef_4 Are Three Compounds Whose Central Atoms Do Not Follow The Octet Rule. Draw Lewis Structures For These Compounds. | Homework.Study.Com
Chem 101 - Octet Rule Violations
Chem 101 – Octet Rule Violations
Violations Of The Octet Rule
Violations Of The Octet Rule
Does Chbr_3 Violate The Octet Rule? | Homework.Study.Com
Does Chbr_3 Violate The Octet Rule? | Homework.Study.Com
3.8: Exceptions To The Octet Rule - Chemistry Libretexts
3.8: Exceptions To The Octet Rule – Chemistry Libretexts
5.5 Violations Of The Octet Rule - Chemistry Libretexts
5.5 Violations Of The Octet Rule – Chemistry Libretexts
Violations Of The Octet Rule – Introductory Chemistry, 1St Canadian Edition  [Clone]
Violations Of The Octet Rule – Introductory Chemistry, 1St Canadian Edition [Clone]
How Many Compounds Violate Octet Rule?Co2​,Pcl5​,Sif4​,Brf5​,If7​,Pcl3​,H..
How Many Compounds Violate Octet Rule?Co2​,Pcl5​,Sif4​,Brf5​,If7​,Pcl3​,H..
Solved Which Of The Following Violate The Octet Rule? Bf3 | Chegg.Com
Solved Which Of The Following Violate The Octet Rule? Bf3 | Chegg.Com
Solved Select All Compounds In Which The Lewis Structure | Chegg.Com
Solved Select All Compounds In Which The Lewis Structure | Chegg.Com
In Which Of The Following Compounds Does The Central Atom Violate The Octet  Rule? Given: Atomic Number, Se =34, As =33, B =5, N =7A. Nh 3B. Sef 2C. Bf  3D. Asf 3
In Which Of The Following Compounds Does The Central Atom Violate The Octet Rule? Given: Atomic Number, Se =34, As =33, B =5, N =7A. Nh 3B. Sef 2C. Bf 3D. Asf 3
Solved For Each Of The Following Species: Draw The Lewis | Chegg.Com
Solved For Each Of The Following Species: Draw The Lewis | Chegg.Com
19. Which Is Not An Exception To Octet Rule? A) Bf3 B) Cl2O6 C) Cl2O7 D)  Cl2O
19. Which Is Not An Exception To Octet Rule? A) Bf3 B) Cl2O6 C) Cl2O7 D) Cl2O
Violations Of The Octet Rule - Chemistry Libretexts
Violations Of The Octet Rule – Chemistry Libretexts
Which One Of The Following Compounds Does Not Follow The Octet Rule? A)  Nf_3. B) Cf_4. C) Sf_4. D) Ph_3. E) Hcl. | Homework.Study.Com
Which One Of The Following Compounds Does Not Follow The Octet Rule? A) Nf_3. B) Cf_4. C) Sf_4. D) Ph_3. E) Hcl. | Homework.Study.Com
Solved Read The Following Statements: Bf3 And Pf5 Are | Chegg.Com
Solved Read The Following Statements: Bf3 And Pf5 Are | Chegg.Com
Each Of The Following Substances Violates The | Studyx
Each Of The Following Substances Violates The | Studyx
Use The Formal Charge Arguments To Rationalize Why Bf_3 Would Not Follow  The Octet Rule. | Homework.Study.Com
Use The Formal Charge Arguments To Rationalize Why Bf_3 Would Not Follow The Octet Rule. | Homework.Study.Com
Solved In Structure A, Boron Is Electron Deficient And | Chegg.Com
Solved In Structure A, Boron Is Electron Deficient And | Chegg.Com
Does The Nh3 Form Follow The Octet Rule? - Quora
Does The Nh3 Form Follow The Octet Rule? – Quora
Violations Of The Octet Rule
Violations Of The Octet Rule
Limitations Of Octet Rule - Significance, Drawbacks & Limitations
Limitations Of Octet Rule – Significance, Drawbacks & Limitations
2) The Central Atom In Nh3 Violates The Octet Rule. B) Cf4 C) Bf3 D) Asf3  E) Sef2 3) Elements From Opposite Sides Of The Periodic Table Tend To Form  Ionic Compounds.
2) The Central Atom In Nh3 Violates The Octet Rule. B) Cf4 C) Bf3 D) Asf3 E) Sef2 3) Elements From Opposite Sides Of The Periodic Table Tend To Form Ionic Compounds.
The Central Atom'S Number Of Valence Electrons In ______ Makes It An  Exception To The Octet Rule. Nh3 - Brainly.Com
The Central Atom’S Number Of Valence Electrons In ______ Makes It An Exception To The Octet Rule. Nh3 – Brainly.Com
Why Can Icl3 Violate The Octet Rule? What Role Does Molecular Orbital  Theory Play In This Case? | Homework.Study.Com
Why Can Icl3 Violate The Octet Rule? What Role Does Molecular Orbital Theory Play In This Case? | Homework.Study.Com
Today'S Class -Exceptions To The Octet Rule -Bond Length And Strength -Pi  And Sigma Bonds -Linking Activity. - Ppt Download
Today’S Class -Exceptions To The Octet Rule -Bond Length And Strength -Pi And Sigma Bonds -Linking Activity. – Ppt Download
Structures For H2Co3, Sf6, Pf5 And If7. Is The Octet Rule Obeyed In All  These Cases? - Sarthaks Econnect | Largest Online Education Community
Structures For H2Co3, Sf6, Pf5 And If7. Is The Octet Rule Obeyed In All These Cases? – Sarthaks Econnect | Largest Online Education Community
Solved Question 7 Boron In Bf3 Violates The Octet Rule | Chegg.Com
Solved Question 7 Boron In Bf3 Violates The Octet Rule | Chegg.Com
Exceptions To The Octet Rule | Pdf | Valence (Chemistry) | Atomic Orbital
Exceptions To The Octet Rule | Pdf | Valence (Chemistry) | Atomic Orbital
Use Lewis Structures To Determine Which Of These Molecules Has A Central  Atom That Unavoidably Violates The Octet Rule. A. Cs2 B. Nh3 C. Pcl3 D.  No3- E. So3 F. Xef2 G.
Use Lewis Structures To Determine Which Of These Molecules Has A Central Atom That Unavoidably Violates The Octet Rule. A. Cs2 B. Nh3 C. Pcl3 D. No3- E. So3 F. Xef2 G.
Which Of The Following Have Lewis Structures That Do Not Obey The Octet Rule?  Check All That Apply: Ph4 Sif2 B(Oh)3 Po4^3- So3 C2H4 So(Ch3)2 Clo2 Nf3
Which Of The Following Have Lewis Structures That Do Not Obey The Octet Rule? Check All That Apply: Ph4 Sif2 B(Oh)3 Po4^3- So3 C2H4 So(Ch3)2 Clo2 Nf3
Solved] Please I Need Help On How To Solve This Problem Answer Is  Showing... | Course Hero
Solved] Please I Need Help On How To Solve This Problem Answer Is Showing… | Course Hero
In Which Octet Rule Is Obeyed· Or Not ? (1) Pcl(5)
In Which Octet Rule Is Obeyed· Or Not ? (1) Pcl(5) ” (2) ” Sf(6) “
How Many Compounds Violate Octet Rule? (Viii) Bf_3 - Youtube
How Many Compounds Violate Octet Rule? (Viii) Bf_3 – Youtube
Solved The Central Atom In ______ Violates The Octet Rule. | Chegg.Com
Solved The Central Atom In ______ Violates The Octet Rule. | Chegg.Com
Why Does Becl2 Obey The Octet Rule? - Quora
Why Does Becl2 Obey The Octet Rule? – Quora
Why Is Bcl3 An Electron-Deficient Compound, And Why Does It Have A Strong  Tendency To Gain An Additional Pair Of Electrons By Reacting With Species  With A Lone Pair Of Electrons? -
Why Is Bcl3 An Electron-Deficient Compound, And Why Does It Have A Strong Tendency To Gain An Additional Pair Of Electrons By Reacting With Species With A Lone Pair Of Electrons? –
Select All Compounds In Which The Lewis Structure Violates The Octet Rule:  Bf3, Pbr5, Secl4, Sf6
Select All Compounds In Which The Lewis Structure Violates The Octet Rule: Bf3, Pbr5, Secl4, Sf6
Solved 17) The Octet Rule Is Violated By At Least One Atom | Chegg.Com
Solved 17) The Octet Rule Is Violated By At Least One Atom | Chegg.Com
The Octet Rule | Definition, Overview & Exceptions | Study.Com
The Octet Rule | Definition, Overview & Exceptions | Study.Com
Violations Of The Octet Rule
Violations Of The Octet Rule
Why Does Sf4 Violate The Octet Rule? - Quora
Why Does Sf4 Violate The Octet Rule? – Quora

See more articles in the same category here: https://linksofstrathaven.com/how