What is the ideal van t Hoff factor of ethylene glycol?
Let’s break this down a bit further. The van’t Hoff factor represents the number of particles a solute produces in solution. For example, when table salt (NaCl) dissolves in water, it breaks down into one sodium ion (Na+) and one chloride ion (Cl-), giving a van’t Hoff factor of 2. However, ethylene glycol remains as a single molecule in solution, so its van’t Hoff factor is simply 1.
This factor is important because it helps us understand how solutes affect the colligative properties of solutions, such as freezing point depression, boiling point elevation, and osmotic pressure. The higher the van’t Hoff factor, the greater the impact on these properties. Because ethylene glycol has a van’t Hoff factor of 1, its impact on these properties is relatively small compared to electrolytes.
What is the van T Hoff factor of CaCl2?
Let’s break down why. The van’t Hoff factor (i) represents the number of particles a solute dissociates into when dissolved in a solvent. CaCl2 is an ionic compound that dissociates into three ions when dissolved in water: one Ca2+ ion and two Cl– ions.
i = 1 + (n – 1)α
where:
i is the van’t Hoff factor
n is the number of ions the solute dissociates into
α is the degree of dissociation (which is assumed to be 1 for strong electrolytes like CaCl2).
Since CaCl2 dissociates into three ions, we have n = 3. Therefore, i = 1 + (3 – 1) * 1 = 3.
The van’t Hoff factor is a crucial concept in understanding colligative properties, which are properties of solutions that depend on the concentration of solute particles rather than their identity. Colligative properties include:
Freezing Point Depression: The temperature at which a solution freezes is lower than that of the pure solvent.
Boiling Point Elevation: The temperature at which a solution boils is higher than that of the pure solvent.
Osmotic Pressure: The pressure that needs to be applied to a solution to prevent the inward flow of solvent across a semipermeable membrane.
The van’t Hoff factor helps us account for the increased number of particles in solution due to dissociation, allowing us to accurately predict these colligative properties. For example, a solution of CaCl2 will have a greater freezing point depression than a solution of a non-electrolyte with the same molar concentration because the CaCl2 solution contains three times as many particles.
In essence, the van’t Hoff factor acts as a correction factor to account for the impact of solute dissociation on the colligative properties of solutions.
What is the van t Hoff factor of CCl4?
Here’s the thing: CCl4 is a covalent compound. This means it doesn’t break apart into ions when it dissolves. Since it stays as one whole molecule, its van’t Hoff factor is 1.
Now, the text you provided says that the van’t Hoff factor is approximately 2.98. This is incorrect! It’s a common mistake to associate the van’t Hoff factor with boiling point constants.
The boiling point constant (kb) is a property of the solvent, not the solute. In this case, the boiling point constant of 4.94 °C/mol/kg applies to carbon tetrachloride as a solvent. It doesn’t tell us anything about the van’t Hoff factor of CCl4.
Remember, the van’t Hoff factor only applies to compounds that dissociate into ions when dissolved, like salts (NaCl, KBr) or acids (HCl, HNO3). Since CCl4 is a covalent compound, it doesn’t dissociate into ions, and its van’t Hoff factor is 1.
What is the KF of water?
Let’s break down what this means. The molal freezing point depression constant is a property of a solvent that describes how much the freezing point of the solvent will decrease when a solute is added to it. In simpler terms, it’s the amount the freezing point of a solution will go down for every mole of solute you add per kilogram of solvent.
For water, this means that for every mole of solute you add per kilogram of water, the freezing point of the solution will decrease by 1.86 °C. This decrease in freezing point is called freezing point depression.
Here’s an example: If you add one mole of sugar to one kilogram of water, the freezing point of the solution will decrease by 1.86 °C. So the solution will freeze at -1.86 °C instead of 0 °C.
The Kf value is a useful tool for predicting the freezing point of a solution. This is important in many applications, such as:
Anti-freeze: Adding antifreeze to a car radiator prevents the water from freezing in cold weather. Antifreeze works by lowering the freezing point of the water in the radiator.
Salt on roads: Salt is used to melt ice on roads in the winter. Salt dissolves in water, lowering the freezing point of the water and preventing ice from forming.
Food preservation: Adding sugar or salt to food can help to preserve it by lowering the freezing point of the water in the food. This makes it harder for bacteria to grow.
Kf is a fundamental concept in chemistry and has a wide range of applications. Understanding it can help you understand a variety of phenomena that occur in everyday life.
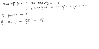
What is Van Hoff factor of glycerol?
Let’s break down why this is the case. The Van’t Hoff factor is a measure of the number of particles a solute forms in a solution. It’s essentially a way to understand how many particles are contributing to the colligative properties of the solution, like osmotic pressure, boiling point elevation, and freezing point depression.
For nonelectrolytes like glycerol, the Van’t Hoff factor is 1. This is because they remain as whole molecules when dissolved, not breaking down into individual ions.
Here’s a simple analogy: Imagine you have a sugar cube. When you dissolve it in water, it breaks down into individual sugar molecules, but it doesn’t split into charged particles like sodium and chloride ions. Glycerol behaves similarly – it dissolves into individual glycerol molecules but doesn’t dissociate into ions.
In contrast, electrolytes like table salt (NaCl) dissociate into ions when dissolved. For instance, sodium chloride (NaCl) dissolves in water to form sodium ions (Na+) and chloride ions (Cl-), resulting in a Van’t Hoff factor of 2.
In summary, the Van’t Hoff factor of glycerol is 1 because it’s a nonelectrolyte. This means it doesn’t break down into ions when dissolved, so it only contributes one particle per molecule to the solution.
What is the ideal van t Hoff factor for glucose?
Let’s break down why this is the case. The van’t Hoff factor represents the number of particles a solute dissociates into when dissolved in a solvent. Think of it as a measure of how many individual pieces a molecule breaks into when it goes into solution. For example, when sodium chloride (NaCl) dissolves in water, it splits into one sodium ion (Na+) and one chloride ion (Cl-). This gives a van’t Hoff factor of 2 for NaCl.
Glucose, however, doesn’t break down into smaller particles like NaCl does. It stays as a single molecule. Because of this, the van’t Hoff factor for glucose is 1.
This is important to consider when calculating the colligative properties of solutions, like boiling point elevation and freezing point depression. Colligative properties are dependent on the number of solute particles present in a solution, and the van’t Hoff factor helps us account for this.
What is the Van T Hoff factor of sucrose?
The Van’t Hoff factor tells us how many particles a substance breaks into when it dissolves. Imagine salt (sodium chloride) dissolving in water. It breaks apart into sodium ions (Na+) and chloride ions (Cl-), giving us a Van’t Hoff factor of 2.
But what about sucrose? It doesn’t break into smaller particles when it dissolves in water. It stays as a whole molecule. This means the Van’t Hoff factor for sucrose is 1.
Here’s a simple analogy: Think of a candy bar. If you break it in half, you now have two pieces. That’s like a substance with a Van’t Hoff factor of 2. But if you have a whole candy bar and it doesn’t break, you still have one piece, which is like a substance with a Van’t Hoff factor of 1.
It’s essential to remember that the Van’t Hoff factor doesn’t just affect how many particles are present, but also how these particles interact with each other and the solvent. This impacts properties like boiling point elevation and freezing point depression. So, while it might seem simple, the Van’t Hoff factor plays a crucial role in understanding the behavior of solutions.
What is the Van T Hoff factor of NaCl?
Let’s delve a bit deeper into why this factor is crucial. The Van’t Hoff factor plays a vital role in understanding the colligative properties of solutions. These properties, like osmotic pressure, boiling point elevation, and freezing point depression, are influenced by the number of particles in the solution, not necessarily the mass of the solute itself.
When NaCl dissolves, it effectively doubles the number of particles in the solution. This increase in the number of particles leads to a greater impact on the colligative properties. For instance, a solution of NaCl will have a higher boiling point and a lower freezing point compared to a solution of a non-ionic compound with the same concentration. The Van’t Hoff factor helps us quantify this effect, allowing us to predict how the colligative properties will change based on the solute’s dissociation behavior.
What substances have a van t Hoff factor of 1?
Let’s break down why the van’t Hoff factor for non-ionizing molecules is 1. The van’t Hoff factor, symbolized by *i*, represents the number of particles a solute dissociates into when dissolved in a solvent. For example, when you dissolve table salt (NaCl) in water, it dissociates into two ions: sodium (Na+) and chloride (Cl-), giving it a van’t Hoff factor of 2. Non-ionizing molecules, however, don’t dissociate in solution. They remain as a single, undissociated unit. This means they contribute only one particle to the solution, hence a van’t Hoff factor of 1.
To understand this concept better, let’s consider materials which are soluble in non-polar solvents. These substances often consist of non-polar molecules. Non-polar molecules lack a significant difference in electronegativity between their atoms, leading to an even distribution of electron density. This even distribution prevents them from forming strong attractive forces with polar solvents like water. Instead, they tend to dissolve in non-polar solvents like hexane or benzene. Since they don’t dissociate in these solvents, their van’t Hoff factor remains at 1.
Here are some examples of substances with a van’t Hoff factor of 1:
Glucose: Glucose is a simple sugar that dissolves in water but does not ionize. It remains as a single molecule in solution, making its van’t Hoff factor 1.
Ethanol: Ethanol is a common alcohol that dissolves in water. Like glucose, it does not ionize and remains as a single molecule in solution. Its van’t Hoff factor is also 1.
Benzene: Benzene is a non-polar solvent that dissolves in other non-polar solvents. Since it doesn’t ionize, its van’t Hoff factor is 1.
These examples demonstrate that the van’t Hoff factor reflects the behavior of a solute in a solution, specifically its tendency to dissociate into multiple particles. For non-ionizing molecules, which remain as a single unit in solution, the van’t Hoff factor is always 1.
See more here: What Is The Van T Hoff Factor Of Cacl2? | Van’T Hoff Factor Of Glycerol
What is the van’t Hoff factor?
It’s important to remember that the van’t Hoff factor is a property of the solute itself, meaning it depends on the type of substance you’re dissolving. In an ideal solution, the van’t Hoff factor doesn’t change even if you add more or less solute.
Now, let’s talk about nonelectrolytes. A nonelectrolyte is a substance that doesn’t break apart into ions when it dissolves. Think of sugar dissolving in water. The sugar molecules just spread out, they don’t split into charged pieces. In this case, the van’t Hoff factor is 1. This means one molecule of sugar gives you one particle in the solution.
Let’s take a closer look at why the van’t Hoff factor is important. It helps us understand how solutions behave, particularly when it comes to colligative properties. These are properties of a solution that depend on the concentration of solute particles, not the nature of the solute itself. Some examples of colligative properties include:
Freezing point depression: The temperature at which a solution freezes is lower than the freezing point of the pure solvent.
Boiling point elevation: The temperature at which a solution boils is higher than the boiling point of the pure solvent.
Osmotic pressure: The pressure required to prevent the flow of solvent across a semipermeable membrane.
These colligative properties are directly affected by the van’t Hoff factor. For example, a solution with a higher van’t Hoff factor will have a greater freezing point depression and boiling point elevation. This is because there are more particles in the solution, causing a greater change in the solution’s properties.
Let’s look at a simple example to illustrate this:
Example 1: Imagine you dissolve one mole of glucose (a nonelectrolyte) in one liter of water. The van’t Hoff factor for glucose is 1, meaning there’s one particle for every molecule of glucose.
Example 2: Now imagine you dissolve one mole of sodium chloride (NaCl) in one liter of water. Sodium chloride is an electrolyte, meaning it breaks down into ions in solution. The van’t Hoff factor for sodium chloride is 2 because each molecule of NaCl produces one sodium ion (Na+) and one chloride ion (Cl-) in solution.
So, even though you have the same amount of solute in both solutions, the solution with sodium chloride will have a greater impact on the colligative properties of the solution because it has more particles.
What is van t Hoff factor?
This rule applies to ideal solutions, where ions behave independently. However, in reality, ion pairing can occur, especially at higher concentrations. This happens when oppositely charged ions stick together briefly, acting like a single particle instead of two.
Let’s explore this further. When you dissolve NaCl in water, you expect to get one Na+ ion and one Cl- ion for each NaCl molecule. But, in reality, a small fraction of these ions will associate with each other, forming temporary NaCl pairs. These pairs act like one particle, reducing the total number of particles in solution. This means the van ‘t Hoff factor in a real solution is a little less than 2.
The extent of ion pairing depends on the concentration of the solution, the type of ions involved, and the temperature. At higher concentrations, more ion pairing occurs, as there are more chances for ions to encounter each other. Similarly, ions with stronger attractions (like those with higher charges) are more likely to form pairs. Finally, as temperature increases, the amount of ion pairing decreases because the ions have more energy to break apart.
Understanding the van ‘t Hoff factor helps us accurately predict how solutions will behave. It influences properties like freezing point depression, boiling point elevation, and osmotic pressure. Knowing how many particles a substance contributes to a solution allows us to calculate these properties with more precision.
Why is van’t Hoff factor important in solution chemistry?
Let’s break down what the van’t Hoff factor represents. It’s a positive integer that tells us how many particles a single formula unit or molecule of a compound breaks into when dissolved in water.
For example, glucose (C₆H₁₂O₆) is a non-electrolyte, meaning it doesn’t dissociate into ions when dissolved in water. So, its van’t Hoff factor is 1. On the other hand, sodium chloride (NaCl) is an electrolyte. When it dissolves in water, it dissociates into one sodium ion (Na⁺) and one chloride ion (Cl⁻). This means the van’t Hoff factor for NaCl is 2.
The van’t Hoff factor is particularly helpful when we calculate colligative properties like:
Freezing point depression: The decrease in the freezing point of a solvent when a solute is added.
Boiling point elevation: The increase in the boiling point of a solvent when a solute is added.
Osmotic pressure: The pressure needed to prevent the flow of solvent across a semipermeable membrane.
The van’t Hoff factor is used as a correction factor in these calculations. We multiply the molality (or molarity) of the solution by the van’t Hoff factor to account for the actual number of particles present in the solution. This ensures our calculations are accurate and reflect the real-world behavior of solutions.
Let’s imagine we have a solution containing 1 molal NaCl. We know that NaCl dissociates into two ions, so its van’t Hoff factor is 2. Therefore, the effective concentration of particles in the solution is actually 2 molal, not 1 molal. This is crucial for accurately calculating the freezing point depression or boiling point elevation of the solution.
In essence, the van’t Hoff factor bridges the gap between the theoretical properties of a solution and its real-world behavior. It provides a simple but powerful tool for understanding and predicting how solutes affect the properties of solutions.
What is the van’t Hoff factor for Bronsted-Lowry acids?
However, acids are an important exception to this rule. Acids are compounds that donate protons (H+ ions) in solution. When a Brønsted-Lowry acid dissolves in water, it breaks apart into one or more H+ ions and a conjugate base (an anion). This means the van’t Hoff factor for Brønsted-Lowry acids is equal to the number of ions the original acid dissociates into in an aqueous solution.
For example, consider hydrochloric acid (HCl). When HCl dissolves in water, it dissociates completely into one H+ ion and one Cl− ion. The van’t Hoff factor for HCl is 2, because it forms two ions in solution.
Let’s look at another example: sulfuric acid (H2SO4). H2SO4 is a strong acid that dissociates completely into two H+ ions and one SO42− ion in water. The van’t Hoff factor for H2SO4 is 3, because it forms three ions in solution.
The van’t Hoff factor is an important concept in understanding the colligative properties of solutions, such as boiling point elevation, freezing point depression, and osmotic pressure. It is also important in calculating the ionic strength of a solution, which is a measure of the concentration of ions in solution.
The van’t Hoff factor can be used to determine the extent of dissociation of an acid. For example, if the van’t Hoff factor of a weak acid is close to 1, this indicates that the acid does not dissociate significantly in solution. If the van’t Hoff factor is closer to the maximum possible value, this indicates that the acid dissociates almost completely in solution.
The van’t Hoff factor can also be used to determine the molar mass of an unknown compound. This is because the van’t Hoff factor is related to the number of particles in solution. By measuring the colligative properties of a solution, such as the boiling point elevation, and knowing the van’t Hoff factor, we can determine the molar mass of the unknown compound.
Remember, the van’t Hoff factor is a useful tool for understanding the behavior of acids in solution. It helps us understand how acids dissociate, how their dissociation affects the properties of solutions, and how we can use this information to determine other properties of the acid and its solutions.
See more new information: linksofstrathaven.com
Van’T Hoff Factor Of Glycerol: Understanding Its Impact
So you’re interested in the van’t Hoff factor of glycerol, huh? That’s a great topic! Let’s break it down and see what we can learn.
What’s the Van’t Hoff Factor, Anyway?
Let’s start with the basics. The van’t Hoff factor (symbolized by i) tells us how many particles a solute will dissociate into when dissolved in a solvent. Think of it like this: When you dissolve something like salt (NaCl) in water, it splits into sodium (Na+) and chloride (Cl-) ions, effectively doubling the number of particles in the solution. The van’t Hoff factor for NaCl is 2.
Glycerol: A Non-Electrolyte
Now, glycerol is a bit different. It’s a non-electrolyte, meaning it doesn’t dissociate into ions when dissolved in water. It stays as one whole molecule. That means its van’t Hoff factor is 1.
Why Does This Matter?
The van’t Hoff factor plays a crucial role in understanding the properties of solutions. It directly influences:
Colligative Properties: These are properties of a solution that depend only on the concentration of solute particles, regardless of their identity. Freezing point depression, boiling point elevation, osmotic pressure, and vapor pressure lowering are all examples of colligative properties. The van’t Hoff factor helps us predict how these properties will change.
Calculating Colligative Properties
Let’s say you want to calculate the freezing point depression of a glycerol solution. You can use the following equation:
ΔTf = i * Kf * m
Where:
ΔTf is the change in freezing point
i is the van’t Hoff factor
Kf is the molal freezing point depression constant of the solvent (water in this case)
m is the molality of the solution
Since the van’t Hoff factor of glycerol is 1, you can simply plug in the values for Kf and m to get the change in freezing point.
Applications of the Van’t Hoff Factor
Understanding the van’t Hoff factor has practical applications in various fields, including:
Chemistry: It’s essential for calculating colligative properties and understanding the behavior of solutions.
Biology: It plays a role in understanding osmosis, the movement of water across a semi-permeable membrane, which is crucial for cell function.
Medicine: It helps explain the effects of electrolytes in the body and their role in maintaining fluid balance.
FAQs
#What is the van’t Hoff factor of glycerol?
The van’t Hoff factor of glycerol is 1. It doesn’t dissociate into ions when dissolved in water.
#How does the van’t Hoff factor affect colligative properties?
The van’t Hoff factor directly affects colligative properties like freezing point depression, boiling point elevation, osmotic pressure, and vapor pressure lowering. The higher the van’t Hoff factor, the greater the effect on these properties.
#What are some other examples of non-electrolytes besides glycerol?
Other examples of non-electrolytes include sugar (sucrose), glucose, and ethanol.
#Why is the van’t Hoff factor important in biology?
The van’t Hoff factor is essential for understanding osmosis, the movement of water across a semi-permeable membrane, which is crucial for cell function.
#Can the van’t Hoff factor ever be greater than 1?
Yes, the van’t Hoff factor can be greater than 1 for electrolytes that dissociate into multiple ions. For example, the van’t Hoff factor of magnesium chloride (MgCl2) is 3 because it dissociates into one magnesium (Mg2+) ion and two chloride (Cl-) ions.
Van’t Hoff Factor: Definition, Formula, and Examples – Chemistry
The van’t Hoff factor explains how many ions are produced when an electrolyte dissolves. For example, if a compound fully dissociates into two ions, the van’t Hoff Chemistry Learner
How do you calculate the freezing point and the boiling point
Solution. Verified by Toppr. Δ T f = i × m × K f. where. ∙ Δ T f is the change in freezing point temperature, ∙ i is the Van’t Hoff factor, which is essentially the number of dissolved Toppr
11.4: Colligative Properties – Chemistry LibreTexts
The van’t Hoff factor (i) is defined as the ratio of solute particles in solution to the number of formula units dissolved: \[i=\dfrac{\textrm{moles of particles in Chemistry LibreTexts
13.6: Colligative Properties- Freezing Point Depression, Boiling
The relationship between the actual number of moles of solute added to form a solution and the apparent number as determined by colligative properties is called the Chemistry LibreTexts
How can I determine the van’t Hoff factor of a substance
The van’t Hoff factor, #i#, is the number of particles formed in a solution from one formula unit of solute. Notice that #i# is a property of the solute. In an ideal Socratic
the van’t Hoff factor – University of Texas at Austin
The van’t Hoff factor is really just a mathematical factor that scales the mixed or label concentration of a solute so that it matches the actual or total concentration of all utexas.edu
physical chemistry – Finding freezing temperature and osmotic
First, the $i$ in the equation you cited is the van’t Hoff factor of the solute(s) (ethylene glycol and glycerol in this case). The van’t Hoff factor accounts for how many Chemistry Stack Exchange
The Van’t Hoff Factor ‹ OpenCurriculum
A chemical’s Van’t Hoff Factor is an important tool in solution chemistry because it helps you perform stoichiometric calculations concerning solutions. A Van’t Hoff Factor is a OpenCurriculum
Finding The Van’T Hoff Factor
Van’T Hoff Factors
Van’T Hoff Factor And Its Significance
The Van’T Hoff Factor
Molar Mass From Osmotic Pressure – Molarity \U0026 Van’T Hoff Factor – Chemistry Problems
Calculation Of Dissociation Factor | Van’T Hoff Factor
Aleks: Calculating And Using The Van’T Hoff Factor For Electrolytes
Link to this article: van’t hoff factor of glycerol.

See more articles in the same category here: https://linksofstrathaven.com/how